最新资讯

  • 最新资讯了解最新公司动态及行业资讯

2026-02-011 阅读量

当今社会,我们已经完全步入信息时代。从手机通话到视频会议,从物联网设备到卫星通信,这些看似日常的通信方式背后,都依赖

2026-02-011 阅读量

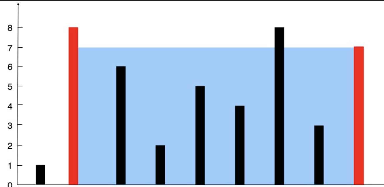
给定一个长度为 n 的整数数组 height 。有 n 条垂线,第 i 条线的两个端点是 (i, 0) 和 (i, height[i]) 。找出其中

2026-02-011 阅读量

前言 RemoteJVMDebug作为Java开发的核心调试工具,允许开发者通过IDE远程连接运行中的JVM进程,实现断点调试、变量监控和线程

2026-02-011 阅读量

1、环境准备         1.1、CentOS 7.9系统         1.2、更换YUM源为本地或外网源         1.3、更换系统IP地址为静

2026-02-011 阅读量

目录 1. 初识HTTP 2. URL         2.1 基本结构 2.2 URL中的?与urldecodeurlencode 易混淆:URL和HTTP传输请求两者是什么关

2026-02-012 阅读量

🧩 一、核心摘要人工智能系统正在从以单一任务调用为主的运行形态,转向以工作流为核心的多阶段协同结构。在应用层实践中

2026-02-013 阅读量

Simple Form性能优化:HTTP/2服务器推送配置 【免费下载链接】simple_form 项目地址: https://gitcode.com/gh_mirrors/sim

2026-02-011 阅读量

博主介绍:✌全网粉丝10W+,前互联网大厂软件研发、集结硕博英豪成立工作室。专注于计算机相关专业项目实战6年之久

2026-02-013 阅读量

鸿蒙PC真机运行应用之功能导航器个人信息卡片搭建指南背景随着鸿蒙OS 6.0 在PC端的落地,开发者可以直接在鸿蒙PC真机上进行应